+38 (050) 381 39 70
+38 (044) 223 83 18
Київ, вул. Омеляновича-
Павленка, 19а, оф. 1
Оригінальний лист на ангійській мові дивіться за посиланням:
https://mailchi.mp/ibl-international/new-years-resolution-1-to-be-healthier-1680098?e=fa9a275620


Концептуальна модель
Згідно з Обі та ін. (Obi et al., 2016), ускладнення, які можуть виникати у пацієнтів з БЕН, включають гіпертонічну хворобу, анемію, порушення параметрів харчування (анорексія, обмежене споживання білків, яке не забезпечене адекватним підвищенням калорійності), мінеральні і кісткові розлади, розвиток інфекції і зниження якості життя, а також серцево-судинні захворювання 2

Рис 1. Концептуальна модель прогресування хронічної хвороби нирок, БЕН та їх наслідки (Obi et al., 2016).
Підписи на рис 1.
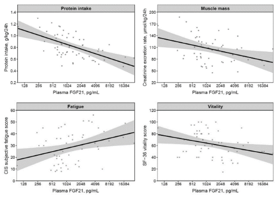
Останні дослідження вказують на те, що FGF21 бере участь в регуляції метаболізму глюкози, ліпідів та амінокислот у відповідь на стрес. FGF21 є ендокринним сигналом на обмежене споживання білка, а також ключовим регулятором який координує метаболічну реакцію на таке обмеження. FGF21 зв'язується з рецепторним комплексом, що складається з рецептору FGF-R і білку β-Klotho. Пост та ін. (Post et al., 2021) досліджували потенціал застосування FGF21 в якості маркера споживання білка і БЕН у пацієнтів, яким проводили гемодіаліз 3

Рис 2. Візуальне представлення даних аналізу залежності (метод лінійної регресії) між вмістом FGF21 у плазмі крові і споживанням білку (protein intake), м’язовою масою (muscle mass), втомою (fatigue) та виживанням (vitality) пацієнтів (Post et al., 2021).
Результати досліджень свідчать, що більш високий вміст FGF21 у плазмі крові пацієнтів зворотним чином асоційований зі швидкістю катаболізму білків. Підвищений рівень FGF21 також корелює із більш виразною втомлюваністю, зменшенням м’язової маси та виживання пацієнтів. Таким чином, FGF21 може бути корисним маркером для оцінки стану пацієнтів з БЕН.
Ми розповсюджуємо тест-системи для імуноферментного аналізу (ІФА): Human FGF21 ELISA (JP27997), FGF19 ELISA (JP27996), soluble alpha-Klotho ELISA (JP27998), які можна застосовувати для дослідницьких цілей (RUO).
*-Поширюється компанією IBL international GmbH, яка входить до групи Tecan. Доступно лише для обмежених територій.
Зв'яжіться з нами для отримання додаткової інформації.
Ми раді підтримати Вас у Ваших дослідженнях

Для отримання додаткової інформації зв'яжіться з нами безпосередньо (contact us) або натисніть тут (click here)!
В якості дистриб’ютора IBL Японія, регулярно надаємо цікаву інформацію про продукцію, натисніть their products для отримання brochure.
IBL Японія виробляє високоякісні антитіла та ІФА набори для великої кількості біомаркерів. Додаткову інформацію можна знайти на IBL Japan website.
| BOРG0030 | BOРG0030 Bordetella pertussis IgG ELISA / Кашлюк, антитіла IgG, набір реагентів ІФА | Придатність 28.02.2027 - за ціною зі знижкою 162 Євро з ПДВ. |
| BOPM0030 | BOPM0030 Bordetella pertussis IgМ ELISA / Кашлюк, антитіла IgМ, набір реагентів ІФА. | Придатність 28.02.2027 - за ціною зі знижкою 162 Євро з ПДВ. |